在复利计算和考虑资金时间因素的计算中,i为每个计息周期的利率,n为计息周期数,则等额序列支付的终值系数是( )。A. 1/(1 +i)n B. [(1...

作者: rantiku 人气: - 评论: 0
问题 在复利计算和考虑资金时间因素的计算中,i为每个计息周期的利率,n为计息周期数,则等额序列支付的终值系数是( )。 A. 1/(1 +i)n B. [(1 +i)n -1]i C. (1+i)n D. i(1+i)n/(1+i)n -1
选项
答案 B
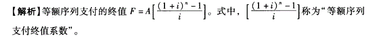
解析

猜你喜欢

发表评论
更多 网友评论0 条评论)
暂无评论

访问排行

Copyright © 2012-2014 恰考网 Inc. 保留所有权利。 Powered by tikuer.com

页面耗时0.0560秒, 内存占用1.03 MB, Cache:redis,访问数据库18次