某出租公寓的年有效毛租金收入为100万元,年运营费用为30万元,如果租金收入和运营费用在未来30年的经营期内分别以每年3%和2%的速度增长,折现率为8%,...

作者: rantiku 人气: - 评论: 0
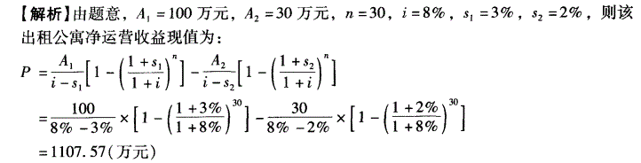
问题 某出租公寓的年有效毛租金收入为100万元,年运营费用为30万元,如果租金收入和运营费用在未来30年的经营期内分别以每年3%和2%的速度增长,折现率为8%,该出租公寓的净运营收益现值为( )万元。 A. 1107.57 B. 1224.35 C. 1253.65 D. 1304.58
选项
答案 A
解析

猜你喜欢

发表评论
更多 网友评论0 条评论)
暂无评论

访问排行

Copyright © 2012-2014 恰考网 Inc. 保留所有权利。 Powered by tikuer.com

页面耗时0.0361秒, 内存占用1.03 MB, Cache:redis,访问数据库20次