某宗物业是在政府有偿出让的土地上开发建设的,当时获得的土地使用年限为50年,至今已使用了6年;预计利用该宗物业正常情况下每年可获得净收益8万元;该宗物业的...

作者: rantiku 人气: - 评论: 0
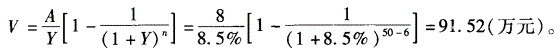
问题 某宗物业是在政府有偿出让的土地上开发建设的,当时获得的土地使用年限为50年,至今已使用了6年;预计利用该宗物业正常情况下每年可获得净收益8万元;该宗物业的报酬率为8.5%。该宗物业的收益价格为( )万元。 A. 90.02 B. 91.52 C. 94.12 D. 95.02
选项
答案 B
解析 该宗物业的收益价格为:

猜你喜欢

发表评论
更多 网友评论0 条评论)
暂无评论

访问排行

Copyright © 2012-2014 恰考网 Inc. 保留所有权利。 Powered by tikuer.com

页面耗时0.0299秒, 内存占用1.03 MB, Cache:redis,访问数据库18次