某宗物业从成交之日起分期付清,首期付款6万元,半年后付款24万元,假设月利率为0.5%,则该宗物业在其成交日期一次付清的价格为()万元。A:28.87 ...

作者: tihaiku 人气: - 评论: 0
问题 某宗物业从成交之日起分期付清,首期付款6万元,半年后付款24万元,假设月利率为0.5%,则该宗物业在其成交日期一次付清的价格为()万元。
选项 A:28.87 B:28.99 C:29.29 D:29.69
答案 C
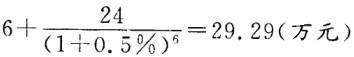
解析 该宗物业在其成交日期一次付清的价格计算如下:

相关内容:某宗,物业,成交,分期,首期,6万元,半年,后付款,24万元,假设,月利率,该宗,日期,价格,万元

猜你喜欢

发表评论
更多 网友评论0 条评论)
暂无评论

访问排行

Copyright © 2012-2014 恰考网 Inc. 保留所有权利。 Powered by tikuer.com

页面耗时0.0311秒, 内存占用1.05 MB, Cache:redis,访问数据库19次