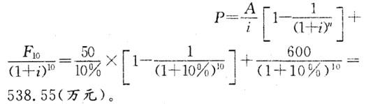
写字楼投资项目在10年的持有期内各年净运营收益均为50万元,第10年末净转售收入为600万元,如果折现率为10%,则该写字楼投资项目的收益现值为()万元。...

作者: tihaiku 人气: - 评论: 0
问题 写字楼投资项目在10年的持有期内各年净运营收益均为50万元,第10年末净转售收入为600万元,如果折现率为10%,则该写字楼投资项目的收益现值为()万元。
选项 A:516.75 B:528.55 C:529.68 D:538.55
答案 D
解析 已知A=50万元,n=10,i=10%,F10=600万元,则该写字楼项目收益现值:

相关内容:写字楼,投资项目,运营,收益,50万元,收入,600万元,折现率,投资,目的,现值,万元

猜你喜欢

发表评论
更多 网友评论0 条评论)
暂无评论

访问排行

Copyright © 2012-2014 恰考网 Inc. 保留所有权利。 Powered by tikuer.com

页面耗时0.0391秒, 内存占用1.04 MB, Cache:redis,访问数据库19次