已知某出租公寓的年有效毛租金收入为100万元,年运营费用为30万元,如果租金收入和运营费用在未来30年的经营期内分别以每年3%和2%的速度增长,折现率为8...

作者: tihaiku 人气: - 评论: 0
问题 已知某出租公寓的年有效毛租金收入为100万元,年运营费用为30万元,如果租金收入和运营费用在未来30年的经营期内分别以每年3%和2%的速度增长,折现率为8%,则该出租公寓的净运营收益现值为()万元。
选项 A:1107.57 B:1126.68 C:1278.66 D:1267.45
答案 A
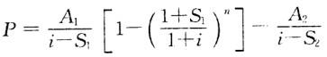
解析 已知A1=100万元,A2=30万元,n=30,i=8%,S1=3%,S2=2%,则该出租公寓净运营收益现值:

相关内容:公寓,毛租金,租金,收入,100万元,运营,30万元,未来,经营,速度,增长,折现率

猜你喜欢

发表评论
更多 网友评论0 条评论)
暂无评论

访问排行

Copyright © 2012-2014 恰考网 Inc. 保留所有权利。 Powered by tikuer.com

页面耗时0.0372秒, 内存占用1.05 MB, Cache:redis,访问数据库19次