采用生产能力指数法估算拟建项目的投资额,其影响因素有( )。A.拟建项目生产能力 B.生产能力指数 C.已建类似项目投资额 D.已建类似项目生产...

作者: tihaiku 人气: - 评论: 0
问题 采用生产能力指数法估算拟建项目的投资额,其影响因素有( )。
选项 A.拟建项目生产能力 B.生产能力指数 C.已建类似项目投资额 D.已建类似项目生产能力 E.直接费、间接费调整系数
答案 ABCD
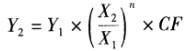
解析 生产能力指数法估算拟建项目投资额的计算公式为:

Y2为拟建项目的投资额;Y1为已建类似项目的投资额;X1为已建类似项目的生产能力;X2为拟建项目的生产能力;CF为不同时期、不同地点的定额、单价、费用变更等的综合调整系数;n为生产能力指数。

相关内容:指数,估算,目的,投资额,影响,项目,生产

猜你喜欢

发表评论
更多 网友评论0 条评论)
暂无评论

Copyright © 2012-2014 恰考网 Inc. 保留所有权利。 Powered by tikuer.com

页面耗时0.0509秒, 内存占用1.05 MB, Cache:redis,访问数据库20次