某项目通过长期借款、短期借款和发行股票分别融资4000万元、1000万元和7000万元,融资的资金成本分别为8%、6%和15%,项目加权平均资金成本为( ...

作者: tihaiku 人气: - 评论: 0
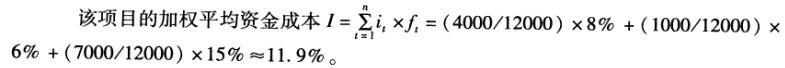
问题 某项目通过长期借款、短期借款和发行股票分别融资4000万元、1000万元和7000万元,融资的资金成本分别为8%、6%和15%,项目加权平均资金成本为( )。[2006年真题]
选项 A.9.7% B.10.4% C.11.9% D.12.3%
答案 C
解析

相关内容:项目,借款,短期,股票,融资,4000万元,1000万,元和,7000万元,资金,成本

猜你喜欢

发表评论
更多 网友评论0 条评论)
暂无评论

Copyright © 2012-2014 恰考网 Inc. 保留所有权利。 Powered by tikuer.com

页面耗时0.0449秒, 内存占用1.05 MB, Cache:redis,访问数据库20次