期初向银行借款100 万元,年利率为6%,按年付息,期限3 年,到期一次还清贷款,资金筹集费为贷款额的5%。   【问题】   计算借贷资金成本。

作者: tihaiku 人气: - 评论: 0
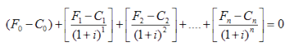
问题 期初向银行借款100 万元,年利率为6%,按年付息,期限3 年,到期一次还清贷款,资金筹集费为贷款额的5%。   【问题】   计算借贷资金成本。
选项
答案
解析 本题中,期限3 年,所以n=3,  F0=100,C0=C1=100×5%,F1=F2=F3=0,   C3=100+100×6%=106

相关内容:银行,借款,万元,年利率,期限,到期,贷款,资金,贷款额,问题,借贷,成本

猜你喜欢

发表评论
更多 网友评论0 条评论)
暂无评论

Copyright © 2012-2014 恰考网 Inc. 保留所有权利。 Powered by tikuer.com

页面耗时0.0406秒, 内存占用1.05 MB, Cache:redis,访问数据库19次