从银行获得一笔20 万元的个人住房贷款,贷款期限20 年,贷款年利率4.2%,每月还本付息应缴纳的房贷是多少其中分别包含了多少利息,多少本金

作者: tihaiku 人气: - 评论: 0
问题 从银行获得一笔20 万元的个人住房贷款,贷款期限20 年,贷款年利率4.2%,每月还本付息应缴纳的房贷是多少其中分别包含了多少利息,多少本金
选项
答案
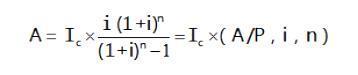
解析  已知i=4.2%,n=20 年,Ic=20 万元。   按照公式计算,每月应偿还本息和为1233.14 元。   注:   一个月为一期,第一期贷款余额20 万元,应支付   利息700 元(200000×4.2%/12),支付本金533.14 元,仍欠银行贷款199466.86 元;   第二期应支付利息(199466.86×4.2%/12)元。

相关内容:银行,万元,个人,住房贷款,贷款,期限,年利率,利息,本金

猜你喜欢

发表评论
更多 网友评论0 条评论)
暂无评论

Copyright © 2012-2014 恰考网 Inc. 保留所有权利。 Powered by tikuer.com

页面耗时0.0356秒, 内存占用1.03 MB, Cache:redis,访问数据库14次