李先生买了一套商品房,面积120 平米,他向银行贷款60 万,还款期限为20 年,年利率为6%(月利率为5‰),试用等额本金和等额还本付息法进行分析。

作者: tihaiku 人气: - 评论: 0
问题 李先生买了一套商品房,面积120 平米,他向银行贷款60 万,还款期限为20 年,年利率为6%(月利率为5‰),试用等额本金和等额还本付息法进行分析。
选项
答案
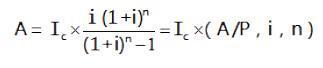
解析 等额本金(等额还本、利息照付):   第一个月=(600000/240)+(600000-0)×5‰=5500   第二个月=(600000/240)+(600000-2500)×5‰=5487.5   第三个月=(600000/240)+(600000-5000)×5‰=5475   第四个月=(600000/240)+(600000-7500)×5‰=5462.5   第五个月=(600000/240)+(600000-10000)×5‰=5450   等额还本付息:  因此,每个月还本付息4298.59 元。

相关内容:李先生,先生,商品房,面积,银行,贷款,期限,年利率,月利率,等额,本金,分析

猜你喜欢

发表评论
更多 网友评论0 条评论)
暂无评论

Copyright © 2012-2014 恰考网 Inc. 保留所有权利。 Powered by tikuer.com

页面耗时0.0551秒, 内存占用1.04 MB, Cache:redis,访问数据库14次