某项目占用农用地的土地机会成本计算。某项目拟占用农业用地1000 亩。经调查,该地的各种可行的替代用途中最大净效益为6000 元/亩(采用影子价格计算的每...

作者: tihaiku 人气: - 评论: 0
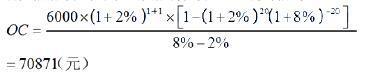
问题 某项目占用农用地的土地机会成本计算。某项目拟占用农业用地1000 亩。经调查,该地的各种可行的替代用途中最大净效益为6000 元/亩(采用影子价格计算的每亩土地年平均净效益)。   在项目计算期20 年内,估计该最佳可行替代用途的年净效益按平均递增2%的速度上升(g=2%)。预计项目第二年开始建设,所以τ=1。社会折现率is=8%。   【问题】   某项目占用农用地的土地机会成本计算。
选项
答案
解析 首先根据每亩年净效益数据计算每亩土地的机会成本:  然后计算占用1000 亩土地的机会成本为:70871×1000=7087(万元)。   对于新增资源消耗,应按照在“有项目”情况下土地的占用造成原有地上附属物财产的损失及其他资源耗费来计算。

相关内容:项目,农用地,土地,机会,调查,代用,途中,效益,影子,价格

猜你喜欢

发表评论
更多 网友评论0 条评论)
暂无评论

Copyright © 2012-2014 恰考网 Inc. 保留所有权利。 Powered by tikuer.com

页面耗时0.0484秒, 内存占用1.05 MB, Cache:redis,访问数据库19次