一水库原有一定水量,河水每天均匀入库。5台抽水机连续20天可抽干;6台同样的抽水机连续15天可抽干。若要求6天抽干,需要多少台同样的抽水机?( )A....

作者: rantiku 人气: - 评论: 0
问题 一水库原有一定水量,河水每天均匀入库。5台抽水机连续20天可抽干;6台同样的抽水机连续15天可抽干。若要求6天抽干,需要多少台同样的抽水机?( ) A. 12 B. 10 C. 14 D. 8
选项
答案 A
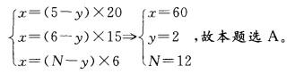
解析 [解一]水库原有的水与20天流入的水可供20 × 5 = 100(台)抽水机抽1天;水库原有的水与15天流入的水可供6 × 15 = 90(台)抽水机抽1天;每天流入的水可供(100 - 90)÷(20 - 15)=2(台)抽水机抽1天;原有的水可供100 - 20 × 2 = 60(台)抽水机抽1天;若6天抽完,共需抽水机60÷6 + 2 = 12(台)。 [解二]设原有水量为x,每天进水量为y,若6天抽干,需要N台抽水机,则

猜你喜欢

发表评论
更多 网友评论0 条评论)
暂无评论

访问排行

Copyright © 2012-2014 恰考网 Inc. 保留所有权利。 Powered by tikuer.com

页面耗时0.0378秒, 内存占用1.03 MB, Cache:redis,访问数据库20次