2011年前三季度,我国软件产业收人增速呈逐月上升态势,9月份实现软件业务收人1882 亿元,同比增长39.3%。累计到9月底,我国软件产业共实现软件业务...

作者: rantiku 人气: - 评论: 0
问题 2011年前三季度,我国软件产业收人增速呈逐月上升态势,9月份实现软件业务收人1882 亿元,同比增长39.3%。累计到9月底,我国软件产业共实现软件业务收人13002亿元,同比增 长31.7%,比上年同期提高1.4个百分点;实现利润总额1578亿元,同比增长22.1%. 2011年1-9月软件业务收入情况 累计到9月底,信息技术咨询服务、数据处理和运营服务实现收人1253和1805亿元,同 比增长44.8%和38.0%,其中9月分别增长84.7%和50.7%。软件产品、嵌入式系统软件增长快 于去年,实现收入4558和2174亿元,同比增长31.2%和30.5%,分别比上年同期高6.1和6.4 个百分点。信息系统集成服务发展平稳,实现收人1821亿元,同比增长26.9%。IC设计增长放 缓,实现收入391亿元,同比增长16.1%,低于上年同期20个百分点以上。 能够从上述资料中推出的是()。 A.2011年前三季度,月度软件产业收入低于月均收人的有3个月 B.2011年前三季度软件产业收人高于2009年同期超过70% C.2011年前三季度,信息系统集成服务收人占软件产业收人的比重略高于上年同期 D.2010年前三季度,嵌入式系统软件收人同比增长速度快于IC设计收人
选项
答案 B
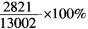
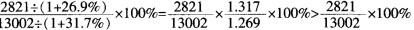
解析 A项,计算较为复杂,先跳过。 B项,由文字第一段可知,2011年前三季度软件产业收人高于2009年同期(1+31.7%)x(1+31.7%-1.4%)-1= 1+31.7%+(31.7%-1.4%)+31.7%x(31.7%-1.4%)-1=31.7%+30.3%+31.7%x30.3%>61%+30%x30%=70%,B 正确。 C项,由文字部分可知,2011年前三季度信息系统集成服务收人占软件产业收人的比重为,2010年同期占比为亿元,最接近的就是C。略低于上年同期,C错误。 D项,由文字第二段可知,2010年前三季度,嵌人式系统软件收人同比增长30.5%-6.4%30%,D错误。 综上,正确选项就是B项。

猜你喜欢

发表评论
更多 网友评论0 条评论)
暂无评论

访问排行

Copyright © 2012-2014 恰考网 Inc. 保留所有权利。 Powered by tikuer.com

页面耗时0.0473秒, 内存占用1.04 MB, Cache:redis,访问数据库19次