对于一元线性回归分析中拟合值与实际观察值的差,便是()A:残差项 B:回归系数 C:回归常数 D:回归样本数

作者: rantiku 人气: - 评论: 0
问题 对于一元线性回归分析中拟合值与实际观察值的差,便是()
选项 A:残差项 B:回归系数 C:回归常数 D:回归样本数
答案 A
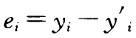
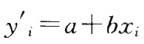
解析 对于每一个自变量χ的数值,都有拟合值:与实际观察值的差,便是残差项:

猜你喜欢

发表评论
更多 网友评论0 条评论)
暂无评论

访问排行

Copyright © 2012-2014 恰考网 Inc. 保留所有权利。 Powered by tikuer.com

页面耗时0.0310秒, 内存占用1.03 MB, Cache:redis,访问数据库19次