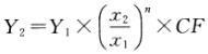
下列建设投资简单估算法中,()的计算式为。A:生产能力指数法 B:比例估算法 C:朗格系数法 D:指标估算法

作者: rantiku 人气: - 评论: 0
问题 下列建设投资简单估算法中,()的计算式为
选项 A:生产能力指数法 B:比例估算法 C:朗格系数法 D:指标估算法
答案 A
解析

猜你喜欢

发表评论
更多 网友评论0 条评论)
暂无评论

访问排行

Copyright © 2012-2014 恰考网 Inc. 保留所有权利。 Powered by tikuer.com

页面耗时0.0357秒, 内存占用1.03 MB, Cache:redis,访问数据库20次