某项目借5年期贷款100万元,年利率6%,采取等额还本利息照付方式还本付息,每年末还本付息一次,第3年应付利息是()万元。A:6.00 B:3.78 ...

作者: tihaiku 人气: - 评论: 0
问题 某项目借5年期贷款100万元,年利率6%,采取等额还本利息照付方式还本付息,每年末还本付息一次,第3年应付利息是()万元。
选项 A:6.00 B:3.78 C:4.92 D:2.57
答案 B
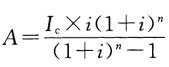
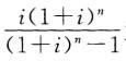
解析 本题考核的是等额还本付息的计算。等额还本付息的计算公式为:A,式中,A为每年还本付息额(等额年金);Ic为还款起始年年初的借款余额(含未支付的建设期利息);i为年利率;n为预定的还款期;金回收系数。本题的计算过程为:A=100万元*6%*(1+6%)5/[(1+6%)5-1]=23.94第1年付息:100万元*6%=6万元还本:(23.94-6)万元=17.94万元第2年付息:(100-17.94)万元*6%=4.92万元还本:(23.94-4.92)万元=19.02万元3年付息:(100-17.94-19.02)万元*6%=3.78万元还本:(23.94-3.78)万元=20.16万元

相关内容:项目,年期,贷款,100万元,年利率,等额,利息,方式,万元

猜你喜欢

发表评论
更多 网友评论0 条评论)
暂无评论

访问排行

Copyright © 2012-2014 恰考网 Inc. 保留所有权利。 Powered by tikuer.com

页面耗时0.0413秒, 内存占用1.04 MB, Cache:redis,访问数据库14次