假定借款在各年年内均衡发生,关于建设期利息计算结果的说法,正确的是()A:计算的建设期利息小于借款在各年年初发生时计算的建设期利息 B:计算的建设期利息...

作者: tihaiku 人气: - 评论: 0
问题 假定借款在各年年内均衡发生,关于建设期利息计算结果的说法,正确的是()
选项 A:计算的建设期利息小于借款在各年年初发生时计算的建设期利息 B:计算的建设期利息大于借款在各年年初发生时计算的建设期利息 C:计算的建设期利息等于借款在各年年初发生时计算的建设期利息 D:建设期利息大小与借款在各年年内是否均衡发生无关
答案 A
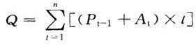
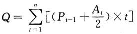
解析 借款额在建设期各年年初发生,建设期利息的计算公式为:;借款额在建设期各年年内均衡发生,建设期利息的计算公式为:所以可知,借款在各年年内均衡发生,计算的建设期利息小于借款在各年年初发生时计算的建设期利息。

相关内容:假定,借款,年内,建设,利息,结果,说法

猜你喜欢

发表评论
更多 网友评论0 条评论)
暂无评论

访问排行

Copyright © 2012-2014 恰考网 Inc. 保留所有权利。 Powered by tikuer.com

页面耗时0.0441秒, 内存占用1.04 MB, Cache:redis,访问数据库18次