某项目建设期为2年,在建设期第1年贷款2000万元,第2年贷款3000万元,各年借款均在年内均衡发生,贷款年利率为8%,每年计息1次,建设期内不支付利息,...

作者: tihaiku 人气: - 评论: 0
问题 某项目建设期为2年,在建设期第1年贷款2000万元,第2年贷款3000万元,各年借款均在年内均衡发生,贷款年利率为8%,每年计息1次,建设期内不支付利息,则该项目的建设期贷款利息估算为( )万元。
选项 A.286.40 B.366.40 C.560.00 D.572.80
答案 B
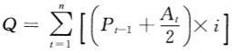
解析 本题考核的是建设期贷款利息的计算。借款额在建设期各年年内均衡发生,建设期利息的计算公式为:,式中Q为建设期利息;Pt-1为按单利计息,为建设期第t-1年末借款累计;按复利计息,为建设期第t-1年末借款本息累计;At为建设期第t年借款额;i为借款年利率;t为年份。本题的计算过程为:第1年借款利息=2000万元72*8%=80万元;第2年借款利息=(2000+80+300072)万元*8%=286.4万元;该项目的建设期贷款利息=(80+286.4)万元=366.4万元。

相关内容:项目建设,建设,贷款,2000万元,3000万元,借款,年内,年利率,支付,利息

猜你喜欢

发表评论
更多 网友评论0 条评论)
暂无评论

访问排行

Copyright © 2012-2014 恰考网 Inc. 保留所有权利。 Powered by tikuer.com

页面耗时0.0449秒, 内存占用1.05 MB, Cache:redis,访问数据库20次