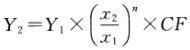
下列建设投资简单估算法中,( )的计算式为。A.生产能力指数法 B.比例估算法 C.朗格系数法 D.指标估算法

作者: tihaiku 人气: - 评论: 0
问题 下列建设投资简单估算法中,( )的计算式为
选项 A.生产能力指数法 B.比例估算法 C.朗格系数法 D.指标估算法
答案 A
解析

相关内容:建设,投资,算法,算式,指数,比例,朗格,系数,指标

猜你喜欢

发表评论
更多 网友评论0 条评论)
暂无评论

访问排行

Copyright © 2012-2014 恰考网 Inc. 保留所有权利。 Powered by tikuer.com

页面耗时0.0380秒, 内存占用1.05 MB, Cache:redis,访问数据库19次