15名学生的语文测验成绩见下表,用分半法斯皮尔曼一布朗校正公式估计测验的信度。

作者: rantiku 人气: - 评论: 0
问题 15名学生的语文测验成绩见下表,用分半法斯皮尔曼一布朗校正公式估计测验的信度。
选项
答案
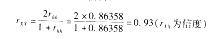
解析 步骤一:用Excel中的CORREL求出两半试题得分之间的相关系数,如下表,结果为0.86358。 步骤二:利用斯皮尔曼一布朗公式计算出信度。 分析:该试卷的信度系数为0.93,大于0.90,所以从信度来看此试卷设计是合理的。 (2)克伦巴赫α系数法。克伦巴赫α系数法,适用于主观性测试非选择题较多的试卷。α系数为试卷 信度的最低限,一般认为其值在0.80以上,考试的信度比较好。

猜你喜欢

发表评论
更多 网友评论0 条评论)
暂无评论

访问排行

Copyright © 2012-2014 恰考网 Inc. 保留所有权利。 Powered by tikuer.com

页面耗时0.0301秒, 内存占用1.03 MB, Cache:redis,访问数据库19次