某市气象局观测发现,今年第一、二季度本市降水量分别比去年同期增加了11%和9%,而两个季度降水量的绝对增量刚好相同。那么今年上半年该市降水量同比增长多少?...

作者: tihaiku 人气: - 评论: 0
问题 某市气象局观测发现,今年第一、二季度本市降水量分别比去年同期增加了11%和9%,而两个季度降水量的绝对增量刚好相同。那么今年上半年该市降水量同比增长多少?()
选项 A. 9.5% B. 10% C. 9.9% D. 10.5%
答案 C
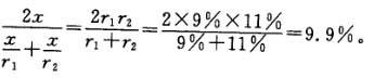
解析 设今年一、二季度降水量绝对增量均为X,一、二季度降水量增长率分别为r1和r2, 则今年上半年增长率

相关内容:气象局,观测,今年,二季度,降水量,两个,季度,增量,同比,增长

猜你喜欢

发表评论
更多 网友评论0 条评论)
暂无评论

Copyright © 2012-2014 恰考网 Inc. 保留所有权利。 Powered by tikuer.com

页面耗时0.0315秒, 内存占用1.04 MB, Cache:redis,访问数据库18次