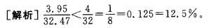
某城市共有常住人口32. 47万人,其中学龄前儿童共计3. 95万人,请问学龄前儿童占常住人口的比例为多少?( )A. 12%
B. 14%
C. 1...
相关内容:城市,共有,人口,47万人,95万人,比例
- 中国共产党决定工作重心由乡村转移到城市的会议是( )。A.六届六中全会
B.七届二中全会
C. 八届一中全会
D.九届三中全会
- 已知一对幼兔能在一月内长成一对成年兔子,一对成年兔子能在一月内生出一对幼兔。如果现在给你一对幼兔,问一年后共有多少对兔子?
- 在一张正方形的纸片上,有 900 个点,加上正方形的 4 个顶点,共有 904 个点。这些点中任意 3 个点不共线,将这纸剪成三角形,每个三角形的三个点是...
- 在 1至1000 这1000个自然数中,能被5或11整除的自然数一共有多少个?
- 一次考试共有五道试题,做对第(原题没有“第”字)1、2、3、4、5 题的分别占考试人数的 84%、88%、72%、80%、56%,如果做对三道或三道以上为...
- 某服装厂生产的一批衬衫中大号和小号各占一半.其中 25%是白色的,75%是兰色的.如果这批衬衫总共有 100 件,其中大号白色衬衫有 10 件,问小号兰色...
- 某次数学竞赛共有 10 道选择题,评分办法是每一题答对一道得 4 分,答错一道扣 1 分,不答得 0 分.设这次竞赛最多有 N 种可能的成
绩,则 N ...
- 一次数学竞赛,总共有 5 道题,做对第 1 题的占总人数的 80%,做对第 2 题的占总人数的 95%,做对第 3 题的占总人数的 85%,做对第 4 题...
- 某运输队运一批大米,第一次运走总数的 1/5 还多 60 袋.第二次运走总数的 1/4 少 60 袋,还剩 220 袋没有运走.着批大米一共有多少袋?
- 将一车 6300 斤重的蔬菜按 6:5:4:3:2:1 的比例分成 6 份,最少的一份的重量是多少 ?A.100 B.300 C.480 D.600