2009年,某玩具公司实现产值4487万美元,其中78. 04%销往海外市场,销往海外市场的产值同比增加39.83%。请问,与2008年相比,2009年该...

作者: tihaiku 人气: - 评论: 0
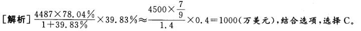
问题 2009年,某玩具公司实现产值4487万美元,其中78. 04%销往海外市场,销往海外市场的产值同比增加39.83%。请问,与2008年相比,2009年该公司销往海外的产值增加了多少万美元?( )
选项 A. 717 B. 854 C. 997 D. 1134
答案 C
解析

相关内容:2009年,玩具,公司,产值,万美元,海外,市场,同比,39.83%,2008年,2009年该

猜你喜欢

发表评论
更多 网友评论0 条评论)
暂无评论

Copyright © 2012-2014 恰考网 Inc. 保留所有权利。 Powered by tikuer.com

页面耗时0.0790秒, 内存占用1.04 MB, Cache:redis,访问数据库18次