2008年,贵州全省第二产业增长8. 92%。其中,工业增长9. 70%,建筑业增长3. 39%。请问2007年贵州省建筑业占第二产业的比重为多少?( )...

作者: tihaiku 人气: - 评论: 0
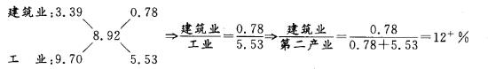
问题 2008年,贵州全省第二产业增长8. 92%。其中,工业增长9. 70%,建筑业增长3. 39%。请问2007年贵州省建筑业占第二产业的比重为多少?( )
选项 A. 11.8% B. 12.4% C. 13.1% D. 14.3%
答案 B
解析 利用“十字交叉法”进行求解: 结合选项,选择B。

相关内容:2008年,贵州,全省,增长,工业,建筑业,2007年,贵州省,比重

猜你喜欢

发表评论
更多 网友评论0 条评论)
暂无评论

Copyright © 2012-2014 恰考网 Inc. 保留所有权利。 Powered by tikuer.com

页面耗时0.0494秒, 内存占用1.05 MB, Cache:redis,访问数据库20次