根据下列资料回答问题。 2010年,我国进出口贸易总额为29727. 6亿美元,同比增长34. 7%。 2010年,我国机电产品出口 9334. 3亿...

作者: tihaiku 人气: - 评论: 0
问题 根据下列资料回答问题。 2010年,我国进出口贸易总额为29727. 6亿美元,同比增长34. 7%。 2010年,我国机电产品出口 9334. 3亿美元,同比增加30. 9 %;高新技术产品出口4924. 1亿美元,同比增长30. 7%。船舶、汽车零部件出口保持较快增长,其中船舶出口同比增长44. 5%,汽车零部件出口同比增长44.1%。 2010年,机电产品进口额达到6603.1亿美元,同比增长34. 4%,高新技术产品进口额达到4126.7 亿美元,同比增长33. 2%。 下列关于2010年我国进出口贸易的表述正确的是( )。
选项 A.高新技术产品逆差约为800亿美元 B.国有企业进出口总额同比增速为28. 5% C.机电产品出口额占出口总额的一半以上 D.船舶出口同比增长金额高于汽车零部件
答案 C
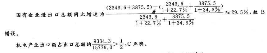
解析 高新技术产业为顺差,故A错误。 船舶出口增长率高于汽车零部件出口增长率,但增长量无法判断,故D错误。

相关内容:根据,资料,问题,2010年,我国,出口贸易,总额,29727.,亿美元,同比,增长,机电产品,出口

猜你喜欢

发表评论
更多 网友评论0 条评论)
暂无评论

Copyright © 2012-2014 恰考网 Inc. 保留所有权利。 Powered by tikuer.com

页面耗时0.0468秒, 内存占用1.04 MB, Cache:redis,访问数据库20次