桌子上放有两枚质地均匀的骰子,均是1点朝上,现每次同时掷两枚骰子,规定拿走落下时偶数面朝上的骰子,保留落下时奇数面朝上的骰子,则掷骰子的次数多于三次的概率...

作者: tihaiku 人气: - 评论: 0
问题 桌子上放有两枚质地均匀的骰子,均是1点朝上,现每次同时掷两枚骰子,规定拿走落下时偶数面朝上的骰子,保留落下时奇数面朝上的骰子,则掷骰子的次数多于三次的概率是( )。
选项 A.15/64 B.17/64 C.49/64 D.49/128
答案 A
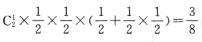
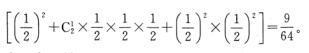
解析 奇数面朝上的概率和偶数面朝上的概率相等,均是1/2,考虑掷骰子的次数 不多于3次的情况。以第一次掷骰子后偶数面朝上的骰子数进行分类讨论:若第一次掷骰子后偶数面朝上的骰子数为2,则两个骰子均被拿走,骰子总共被掷了1次,概率为(1/2)2;若第一次掷骰子后偶数面朝上的骰子数为1,则拿走1个骰子,剩下的那个骰子接下来被掷的次数不超过2,概率为;若第一次掷骰子后偶数面朝上的骰子数为0,则拿走0个骰子,剩下的两个骰子接下来被掷的次数不超过2,概率为。因此掷骰子次数不多于3次的概率为1/4+3/8+9/64=49/64,则挪骰子的次数多于三次的概率是1-49/64=15/64。本题选A。

相关内容:桌子,质地,骰子,均是,同时,两枚,规定,偶数,奇数,次数,概率

猜你喜欢

发表评论
更多 网友评论0 条评论)
暂无评论

Copyright © 2012-2014 恰考网 Inc. 保留所有权利。 Powered by tikuer.com

页面耗时0.0497秒, 内存占用1.05 MB, Cache:redis,访问数据库19次