甲和乙的年龄之和为44岁,当甲的年龄是乙现在年龄的2倍时,乙的年龄正好是甲现在年龄的+,则当甲的年龄是乙现在年龄的3倍时,乙的年龄是甲现在年龄的( )。A...

作者: tihaiku 人气: - 评论: 0
问题 甲和乙的年龄之和为44岁,当甲的年龄是乙现在年龄的2倍时,乙的年龄正好是甲现在年龄的+,则当甲的年龄是乙现在年龄的3倍时,乙的年龄是甲现在年龄的( )。
选项 A.1/2 B.1/3 C.1/4 D.1/5
答案 A
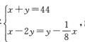
解析 设甲、乙的年龄分别为由年龄差相等,得,解得x=32,y=12。当甲的年龄是乙的年龄的3倍,即甲是36岁时,乙是16岁,是甲现在年龄的1/2。本题选A。

相关内容:年龄,之和,当甲,2倍时,3倍时

猜你喜欢

发表评论
更多 网友评论0 条评论)
暂无评论

Copyright © 2012-2014 恰考网 Inc. 保留所有权利。 Powered by tikuer.com

页面耗时0.0388秒, 内存占用1.04 MB, Cache:redis,访问数据库15次