2013年,社会保险工作深入开展,社会保障体系建设取得重大进展。全年五项社会保险(含城乡居民基本养老保险)基金收人合计社会保险工作深入开展,社会保障体系建...

作者: tihaiku 人气: - 评论: 0
问题 2013年,社会保险工作深入开展,社会保障体系建设取得重大进展。全年五项社会保险(含城乡居民基本养老保险)基金收人合计社会保险工作深入开展,社会保障体系建设取得重大进展。全年五项社会保脸(含城乡居民基本养老保险)基金收人合计35253亿元,增长率为14.7%。基金支出合计27916亿元,增长率为19.7%。 与2010年相比,2013年基本医疗保险参保人数同比增加量是工伤保险参保人数增加量的多少倍?()
选项 A.2.31 B.2.68 C.3.68 D.4.53
答案 C
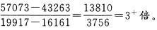
解析 与2010年相比,2013年基本医疗保险参保人数增加量是工伤保险参保人数增加量的因此,本题选择C选项。

相关内容:2013年,工作,社会保障,体系,建设,进展,全年,城乡,居民,养老保险,基金,收人

猜你喜欢

发表评论
更多 网友评论0 条评论)
暂无评论

Copyright © 2012-2014 恰考网 Inc. 保留所有权利。 Powered by tikuer.com

页面耗时0.0653秒, 内存占用1.04 MB, Cache:redis,访问数据库15次