2013年某市A区现有镇级单位10个,村民委员会124个,村民小组2325个。截止到2013年底,全区农村实用人才总数5198人,与去年的5236人相比基...

作者: tihaiku 人气: - 评论: 0
问题 2013年某市A区现有镇级单位10个,村民委员会124个,村民小组2325个。截止到2013年底,全区农村实用人才总数5198人,与去年的5236人相比基本保持平稳,同比减少0.7%,降幅缩小了2.3个百分点。在农村实用人才总量中,行政村拥有人才4870人,占总量的93.7% ;女性人才934人,占 比较上年提高3.7个百分点,达到18.0% ;中共党员占比继续下降1.8个百分点至28.1 %。五类人才中,社会服务型和生产型人才是本区农村实用人才的主体,共同占到了人才总数的六成以上。经营型和技能服务型人才其次,技能带动型人才最少(详见图)。随着农业生产规模化程度不断提高,生产型和技能服务型人才数量稳步提升;而技能带动性、经营性以及社会服务型人才存在小幅波动,人才结构正在不断优化。 2011-2013年度农村实用人才类型变化情况 能够从上述资料中推出的是( )。
选项 A.2013年平均每个村民委员会拥有农村实用人才45个 B.2012年男性人才人数为4302人 C.生产型和技能服务型人才数量逐年提升 D.近三年每年五类人才中技能服务型人才最少
答案 C
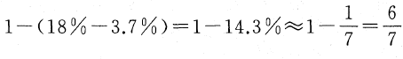
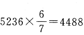
解析 从材料容易看出,2013年A区现有镇级单位10个,村民委员会124个,全区农村实用人才总数5198人,故所求(个),A项错误;由材料可得,2012年区农村实用人才总数5236人,而2013年女性人才934人,占比较上年提高3.7个百分点,达到18.0%。故2012年男性人才占比为。因此2012年男性人才人数约为(人),B项错误;由表格可看出从2011 — 2013年生产型和技能服务型人才数量逐年上升,C项正确;由表格容易得出每年人数最少的均是技能带动型,而非技能服务型,D项错误。故本题正确答案为C。

相关内容:2013年,现有镇,单位,村民委员会,124个,村民,小组,2325个,截止,2013年底,全区,农村,实用,人才,总数,5198人,人相,比基

猜你喜欢

发表评论
更多 网友评论0 条评论)
暂无评论
错误啦!

错误信息

  • 消息: [程序异常] : MISCONF Redis is configured to save RDB snapshots, but it's currently unable to persist to disk. Commands that may modify the data set are disabled, because this instance is configured to report errors during writes if RDB snapshotting fails (stop-writes-on-bgsave-error option). Please check the Redis logs for details about the RDB error.
  • 文件: /twcms/kongphp/cache/cache_redis.class.php
  • 位置: 第 85 行
    <?php echo 'KongPHP, Road to Jane.'; ?>