小王、小李、小张、小夏、小陈、小汪等6名员工等待公司安排任务。他们被公司分成了3组,每组2个人。那么,其中小王和小李恰好能分在同一组的概率是( )。

作者: tihaiku 人气: - 评论: 0
问题 小王、小李、小张、小夏、小陈、小汪等6名员工等待公司安排任务。他们被公司分成了3组,每组2个人。那么,其中小王和小李恰好能分在同一组的概率是( )。
选项
答案 A
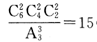
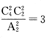
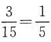
解析 小王和小李在一组的情况有(种),6名员工分成3组总共有(种)情况。所以,小王和小李分在一组的概率为。本题选择A项。

相关内容:小王,小李,小张,小夏,小陈,小汪,员工,公司,任务,2个人,概率

猜你喜欢

发表评论
更多 网友评论0 条评论)
暂无评论
错误啦!

错误信息

  • 消息: [程序异常] : MISCONF Redis is configured to save RDB snapshots, but it's currently unable to persist to disk. Commands that may modify the data set are disabled, because this instance is configured to report errors during writes if RDB snapshotting fails (stop-writes-on-bgsave-error option). Please check the Redis logs for details about the RDB error.
  • 文件: /twcms/kongphp/cache/cache_redis.class.php
  • 位置: 第 85 行
    <?php echo 'KongPHP, Road to Jane.'; ?>