中秋节前,小明去超市购买了大小、质量都相同的莲蓉月饼和豆沙月饼若干,放入不透明的盒中,此时随机取出莲蓉月饼的概率为,小明发现爸爸喜欢吃的莲蓉月饼偏少,又叫...

作者: tihaiku 人气: - 评论: 0
问题 中秋节前,小明去超市购买了大小、质量都相同的莲蓉月饼和豆沙月饼若干,放入不透明的盒中,此时随机取出莲蓉月饼的概率为,小明发现爸爸喜欢吃的莲蓉月饼偏少,又叫妈妈去买了同样的5个莲蓉月饼和1个豆沙月饼放入同一盒中,这时随机取出莲蓉月饼的概率为,则小明买了多少个莲蓉月饼?( )
选项 A.1 B.2 C.3 D.4
答案 B
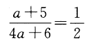
解析 设小明买了莲蓉月饼a个,则豆沙月饼为3a个,根据题意列方程可得:,解得a=2。故本题选B。

相关内容:小明,超市,大小,质量,莲蓉,月饼,豆沙,放入,概率,爸爸

猜你喜欢

发表评论
更多 网友评论0 条评论)
暂无评论

Copyright © 2012-2014 恰考网 Inc. 保留所有权利。 Powered by tikuer.com

页面耗时0.0410秒, 内存占用1.05 MB, Cache:redis,访问数据库19次