截至2014年12月底,全国实有各类市场主体6932.22万户,比上年增长14.35%,增速较上年同期增加4.02个百分点;注册资本(金)129.23万亿...

作者: tihaiku 人气: - 评论: 0
问题 截至2014年12月底,全国实有各类市场主体6932.22万户,比上年增长14.35%,增速较上年同期增加4.02个百分点;注册资本(金)129.23万亿元,比上年末增长27.70%。其中,企业1819.28万户,个体工商户4984.06万户,农民专业合作社128.88万户。 2014年,全国新登记注册市场主体1292.5万户,比上年同期增加160.97万户;注册资本(金)20.66万亿元,比上年同期增加9.66万亿元。其中,企业365.1万户,个体工商户896.45万户,农民专业合作社30.95万户。 2014年,新登记注册现代服务业企业114.10万户,同比增长61.41%。其中,信息传播、软件和信息技术服务业14.67万户,同比增长97.87%;科学研究和技术服务业26.26万户,同比增长70.32%;文化、体育和娱乐业6.59万户,同比增长83.51%;教育业0.68万户,同比增长86.17%。 2014年,新登记注册外商投资企业3.84万户,同比增长5.76%。投资总额2763.31亿美元,同比增长15.0%;注册资本1796.39亿美元,同比增长23.87%。 2014年,新登记注册外商投资企业户均注册资本约比上年同期增长( )
选项 A.17% B.12% C.8% D.4%
答案 A
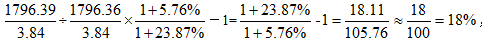
解析 2014年户均在注册资本为1796.39/3.84万美元,2013年户均注册资本为,(万美元),则2014年比2013年增长,A项与之最接近,当选。

相关内容:2014年,12月底,全国,市场,主体,6932.22万户,增长,14.35%,增速,4.02个,百分点,注册资本,129.23万亿

猜你喜欢

发表评论
更多 网友评论0 条评论)
暂无评论

Copyright © 2012-2014 恰考网 Inc. 保留所有权利。 Powered by tikuer.com

页面耗时0.0286秒, 内存占用1.04 MB, Cache:redis,访问数据库17次