甲、乙、丙、丁四位师傅共同负责生产同一批零件,若由甲、乙、丙三位师傅共同生产,则需要8小时完成;若由乙、丙、丁三位师傅共同生产,则需要10小时完成;若由甲...

作者: tihaiku 人气: - 评论: 0
问题 甲、乙、丙、丁四位师傅共同负责生产同一批零件,若由甲、乙、丙三位师傅共同生产,则需要8小时完成;若由乙、丙、丁三位师傅共同生产,则需要10小时完成;若由甲、乙、丁三位师傅共同生产,则需要12小时完成;若由甲、丙、丁三位师傅共同生产,则需要15小时完成。若这批零件由丙师傅单独生产,则需要( )小时完成。
选项 A.18 B.21 C.24 D.25
答案 C
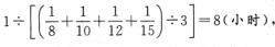
解析 假设甲、乙、丙先共同生产1小时,接下来乙、丙、丁共同生产1小时,再接下来甲、乙、丁共同生产1小时,最后甲、丙、丁共同生产1小时,则相当于甲、乙、丙、丁共同生产了3小时,可得甲、乙、丙、丁共同完成需要,与甲、乙、丙共同完成的时间相等,说明丁的工作效率为0。则可得甲、乙、丙的效率之和为1/8,甲、乙的效率之和为1/12,故丙的效率为1/8-1/12=1/24,因此丙单独完成需要1÷1/24=24(小时)。本题选C。

相关内容:丁四位,师傅,生产,零件,需要,8小时,丁三位,10小时

猜你喜欢

发表评论
更多 网友评论0 条评论)
暂无评论

Copyright © 2012-2014 恰考网 Inc. 保留所有权利。 Powered by tikuer.com

页面耗时0.0347秒, 内存占用1.05 MB, Cache:redis,访问数据库18次