马路边一棵树每分钟匀速向下落叶,现有环卫工来打扫落叶,若7名环卫工打扫,需要10分钟打扫完;若10名环卫工打扫,需要4分钟打扫完。现在要求2分钟之内打扫完...

作者: tihaiku 人气: - 评论: 0
问题 马路边一棵树每分钟匀速向下落叶,现有环卫工来打扫落叶,若7名环卫工打扫,需要10分钟打扫完;若10名环卫工打扫,需要4分钟打扫完。现在要求2分钟之内打扫完,则至少需要( )名环卫工。
选项 A.12 B.15 C.18 D.20
答案 B
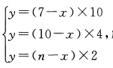
解析 设至少需要n名环卫工,由题意可得,解得n=15。本题选B。

相关内容:马路边,路边,落叶,现有,环卫工,需要,10分钟,4分钟,要求,2分钟

猜你喜欢

发表评论
更多 网友评论0 条评论)
暂无评论

Copyright © 2012-2014 恰考网 Inc. 保留所有权利。 Powered by tikuer.com

页面耗时0.0758秒, 内存占用1.05 MB, Cache:redis,访问数据库18次