为应对春运期间的汽车站售票高峰,客运部门开展了网上提前售票业务。某天工作人员上班时发现昨天下班到今天上班前已累积了一定数量的购票信息,假定从上班开始单位时...

作者: tihaiku 人气: - 评论: 0
问题 为应对春运期间的汽车站售票高峰,客运部门开展了网上提前售票业务。某天工作人员上班时发现昨天下班到今天上班前已累积了一定数量的购票信息,假定从上班开始单位时间出现的新的购票信息数量相同,如果6名工作人员同时处理需1.5小时,如果5名工作人员同时处理需2小时,如果4名工作人员同时处理需()小时。
选项 A.4 B.3.5 C.3 D.2.5
答案 C
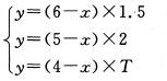
解析 应用核心公式:y=(N-x)T,y代表待处理的购票信息,x表示购票信息的增长速度,N表示工作人员的数量,T表示处理完购票信息的时间。根据公式可得: 解得:x=2,y=6,T=3。故本题答案为C。

相关内容:应对,春运,汽车站,售票,高峰,客运,部门,网上,业务,工作人员,今天,累积,数量,购票,信息,假定,单位

猜你喜欢

发表评论
更多 网友评论0 条评论)
暂无评论

Copyright © 2012-2014 恰考网 Inc. 保留所有权利。 Powered by tikuer.com

页面耗时0.0363秒, 内存占用1.04 MB, Cache:redis,访问数据库14次