某公交车左右侧都有座椅,其中两侧两排黄色座椅的数量占各自一侧座椅数量比重之比为35:18,左侧黄色座椅比右侧黄色座椅多2/3,右排座椅比左排座椅多6个,则...

作者: tihaiku 人气: - 评论: 0
问题 某公交车左右侧都有座椅,其中两侧两排黄色座椅的数量占各自一侧座椅数量比重之比为35:18,左侧黄色座椅比右侧黄色座椅多2/3,右排座椅比左排座椅多6个,则该公交车共有座椅()个。
选项 A.54 B.63 C.78 D.81
答案 C
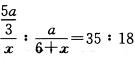
解析 设左排座椅有x个,右排黄色座椅有α个,则右排座椅为x+6个,左排黄色座椅为个,依据题意有,解得x=36,故公交车座椅的总数为2×36+6=78(个)。答案选择C。

相关内容:公交车,座椅,两侧,黄色,数量,一侧,比重,右排,比左排

猜你喜欢

发表评论
更多 网友评论0 条评论)
暂无评论

Copyright © 2012-2014 恰考网 Inc. 保留所有权利。 Powered by tikuer.com

页面耗时0.0548秒, 内存占用1.04 MB, Cache:redis,访问数据库14次