2011年国有单位就业人员平均工资占当年各类城镇单位就业人员平均工资合计的比重比上年约()。A.上升了5个百分点 B.上升了2个百分点 C.下降了...

作者: tihaiku 人气: - 评论: 0
问题 2011年国有单位就业人员平均工资占当年各类城镇单位就业人员平均工资合计的比重比上年约()。
选项 A.上升了5个百分点 B.上升了2个百分点 C.下降了5个百分点 D.下降了2个百分点
答案 B
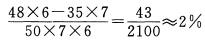
解析 根据表1的数据,2011年国有单位就业人员平均工资占当年城镇单位就业人员平均工资的比重与上年的差值,本题答案为B。

相关内容:2011年,国有,单位,业人员,城镇,比重,百分点

猜你喜欢

发表评论
更多 网友评论0 条评论)
暂无评论

Copyright © 2012-2014 恰考网 Inc. 保留所有权利。 Powered by tikuer.com

页面耗时0.0580秒, 内存占用1.05 MB, Cache:redis,访问数据库19次