下列关于2007—2011年间城镇单位就业人员工资总额的变化,能够从资料中推出的是()。A.2011年制造业就业人员工资总额约是2007年的2.5倍 ...

作者: tihaiku 人气: - 评论: 0
问题 下列关于2007—2011年间城镇单位就业人员工资总额的变化,能够从资料中推出的是()。
选项 A.2011年制造业就业人员工资总额约是2007年的2.5倍 B.2011年交通运输、仓储和邮政业就业人员工资总额比2007年增长了90% C.自2007年至2011年,住宿和餐饮业就业人员工资总额翻了1番 D.自2007年至2011年,金融业就业人员工资总额始终高于交通运输、仓储和邮政业
答案 C
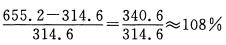
解析 A项,所求倍数为,排除。 B项,2011年交通运输、仓储和邮政业就业人员工资总额相比2007年的增长率为,排除。 C项,2007年住宿和餐饮业就业人员工资总额为314.6亿元,2011年住宿和餐饮业就业人员工资总额为655.2亿元,增长率为,正确。 D项,2007年金融业就业人员工资总额低于交通运输、仓储和邮政业。

相关内容:年间,城镇,单位,业人员,工资,总额,变化,A.2011,制造业,2007年,2.5倍

猜你喜欢

发表评论
更多 网友评论0 条评论)
暂无评论

Copyright © 2012-2014 恰考网 Inc. 保留所有权利。 Powered by tikuer.com

页面耗时0.0436秒, 内存占用1.04 MB, Cache:redis,访问数据库16次