2013年上半年中,乐透数字型福利彩票销售额与即开型福利彩票销售额之比小于7的月份有()个。A.6个 B.5个 C.4个 D.3个

作者: tihaiku 人气: - 评论: 0
问题 2013年上半年中,乐透数字型福利彩票销售额与即开型福利彩票销售额之比小于7的月份有()个。
选项 A.6个 B.5个 C.4个 D.3个
答案 B
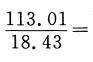
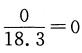
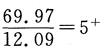
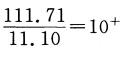
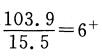
解析 2013年1月,乐透数字型福利彩票销售额与即开型福利彩票销售额之比为。2013年2月,二者之比为。2013年3月,二者之比为6+。2013年4月,二者之比为。2013年5月,二者之比为。2013年6月,二者之比为。因此,2013年1—6月中,乐透数字型福利彩票销售额与即开型福利彩票销售额之比小于7的月份有5个。

相关内容:2013年,乐透,字型,福利彩票,销售额,即开型,月份

猜你喜欢

发表评论
更多 网友评论0 条评论)
暂无评论

Copyright © 2012-2014 恰考网 Inc. 保留所有权利。 Powered by tikuer.com

页面耗时0.0627秒, 内存占用1.05 MB, Cache:redis,访问数据库19次