长江上游A港与下游S港相距270千米,一轮船以恒定速度从A港到S港需要6. 75小时,而返回需要9小时,则长江的水流速度是( )。A. 7千米/小时 B...

作者: tihaiku 人气: - 评论: 0
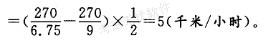
问题 长江上游A港与下游S港相距270千米,一轮船以恒定速度从A港到S港需要6. 75小时,而返回需要9小时,则长江的水流速度是( )。
选项 A. 7千米/小时 B. 6千米/小时 C. 5千米/小时 D. 4. 5千米/小时
答案 C
解析 长江的水流速度即为轮船去时的速度与返回时的速度的差的一半,所以水流的速度

相关内容:长江,上游,下游,270千米,轮船,速度,港到,需要,75小时,9小时,水流,7千米,小时

猜你喜欢

发表评论
更多 网友评论0 条评论)
暂无评论

Copyright © 2012-2014 恰考网 Inc. 保留所有权利。 Powered by tikuer.com

页面耗时0.1082秒, 内存占用1.05 MB, Cache:redis,访问数据库19次