某大学研究生人学考试的专业课试卷共有6道题,50个考生中,答对的共有202人次。已知每人至少答对2道题,答对2道题的5人,答对4道题的9人,答对3道题和5...

作者: tihaiku 人气: - 评论: 0
问题 某大学研究生人学考试的专业课试卷共有6道题,50个考生中,答对的共有202人次。已知每人至少答对2道题,答对2道题的5人,答对4道题的9人,答对3道题和5道题的人数同样多。则答对6道题的人有( )个。
选项 A. 5 B. 6 C. 7 D. 8
答案 B
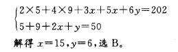
解析 设答对5道题的有x人,答对6道题的有y人,则有

相关内容:大学,研究生,人学,考试,专业课,试卷,共有,道题,考生,202人次

猜你喜欢

发表评论
更多 网友评论0 条评论)
暂无评论

Copyright © 2012-2014 恰考网 Inc. 保留所有权利。 Powered by tikuer.com

页面耗时0.0339秒, 内存占用1.05 MB, Cache:redis,访问数据库18次