2009年,某省农产品出口贸易总额为14. 82亿美元,其中茶叶出口额占出口总额的11. 93%,而绿茶出口额占茶叶出口总额的五分之三。请问2009年,该...

作者: tihaiku 人气: - 评论: 0
问题 2009年,某省农产品出口贸易总额为14. 82亿美元,其中茶叶出口额占出口总额的11. 93%,而绿茶出口额占茶叶出口总额的五分之三。请问2009年,该省绿茶出口额约为多少万美元?( )
选项 A. 8873 B. 10608 C. 12293 D. 14536
答案 B
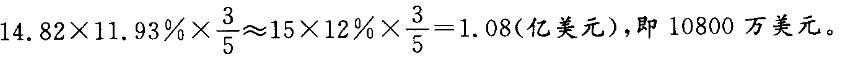
解析 我们运用“截位法”对计算进行简化: 结合选项,选择B。

相关内容:2009年,农产品,出口贸易,总额,亿美元,茶叶,出口额,出口,绿茶

猜你喜欢

发表评论
更多 网友评论0 条评论)
暂无评论

Copyright © 2012-2014 恰考网 Inc. 保留所有权利。 Powered by tikuer.com

页面耗时0.0470秒, 内存占用1.04 MB, Cache:redis,访问数据库20次