2010年,某省广电实际总收入为145. 83亿元,同比增长32. 07%。其中,广告收入为67. 08亿元,同比增长25. 88%;有线网络收入为45....

作者: tihaiku 人气: - 评论: 0
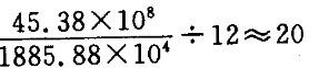
问题 2010年,某省广电实际总收入为145. 83亿元,同比增长32. 07%。其中,广告收入为67. 08亿元,同比增长25. 88%;有线网络收入为45. 38亿元,同比增长26. 35%;其他收入为33. 37亿元,同比增长57. 3%。 2010年,该省广电收入中,省级收入为65. 32亿元,比上年增加15. 5亿元;地市级收入为41. 61亿元,比上年增加13. 39亿元;县级收入为38. 90亿元,比上年增加6.52亿元。 2010年该省各市、县广电收入的区域分布如下: 东部地区50. 06亿元,同比增长32. 48%,占市县收入份额的62. 18%,该地区的市均收入为10.01 亿元,上年同期为7. 56亿元。中部地区17. 78亿元,同比增长40. 70%,该地区的市均收入为5. 93亿元,上年同期为4. 21亿元。西部地区12. 67亿元,同比增长80. 86% ,该地区的市均收入为2. 53亿元,上年同期为1.4亿元。 截至2010年底,该省有线电视用户数为1885. 88万户,比上年末净增161. 7万户。其中有线数字电 视用户为1007. 8万户,比上年末净增277. 58万户。 2010年,该省有线电视用户平均每月的有线网络费用约为多少元?( )
选项 A. 20 B. 36 C. 180 D. 240
答案 A
解析 2010年,该省有线电视用户平均每月的有线网络费用为 (元)。

相关内容:2010年,实际,总收入,83亿元,同比,增长,广告,收入,08亿元,有线,网络,45....

猜你喜欢

发表评论
更多 网友评论0 条评论)
暂无评论

Copyright © 2012-2014 恰考网 Inc. 保留所有权利。 Powered by tikuer.com

页面耗时0.0301秒, 内存占用1.05 MB, Cache:redis,访问数据库18次