作者: tihaiku 人气: - 评论: 0
问题
选项
答案 B
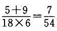
解析 将本数列各项整理为;则可知分子1,4,5,9为递推和数列;分母2,3,6,18为递推积数列,则空缺项应为 或其反约分数,B项为正确答案。
  • 上一篇:
  • 下一篇:

相关内容:

猜你喜欢

发表评论
更多 网友评论0 条评论)
暂无评论

Copyright © 2012-2014 恰考网 Inc. 保留所有权利。 Powered by tikuer.com

页面耗时0.0330秒, 内存占用1.01 MB, Cache:redis,访问数据库18次