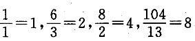
1,1,3,6,2,8,13,104,(),()。 A. 13 169 B.11 176 C.9 81 D.7 48

作者: tihaiku 人气: - 评论: 0
问题 1,1,3,6,2,8,13,104,(),()。 A. 13 169 B.11 176 C.9 81 D.7 48
选项
答案 B
解析 两两分组(1,1);(3,6);(2,8);(13,104)。根据,1,2,4,8 为等比数列,下一项为16,即该数列的后两项之比为16,观察四个选项中仅B项符合。

相关内容:

猜你喜欢

发表评论
更多 网友评论0 条评论)
暂无评论

Copyright © 2012-2014 恰考网 Inc. 保留所有权利。 Powered by tikuer.com

页面耗时0.0371秒, 内存占用1.05 MB, Cache:redis,访问数据库19次