如图,甲、乙、丙是三个站。乙站到甲、丙两站的距离相等,小明和小强分别从甲、丙两站同时出发相向而行,小明过乙站100米后与小强相遇,然后两人又继续前进。小明...

作者: tihaiku 人气: - 评论: 0
问题 如图,甲、乙、丙是三个站。乙站到甲、丙两站的距离相等,小明和小强分别从甲、丙两站同时出发相向而行,小明过乙站100米后与小强相遇,然后两人又继续前进。小明走到丙站立即返回,经过乙站后300米又追上小强。问甲、丙两站的距离是多少米?( ) A. 450 B. 518 C. 600 D. 750
选项
答案 C
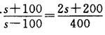
解析 设甲到乙的距离为s米,则小明第一次走了(s+100)米,第二次走了s-100 + s + 300 = 2s+200(米),小强第一次走了(s-100)米,第二次因为是被追上的,故走了100 + 300 = 400(米)。 根据题意,有,解得s = 300,故甲丙相距300X2 = 600(米),本題答案选C。

相关内容:如图,三个,距离,小明,小强,两站,同时,过乙站,100米

猜你喜欢

发表评论
更多 网友评论0 条评论)
暂无评论

Copyright © 2012-2014 恰考网 Inc. 保留所有权利。 Powered by tikuer.com

页面耗时0.0359秒, 内存占用1.05 MB, Cache:redis,访问数据库19次