小王从家开车上班,汽车行驶10分钟后发生了故障,小王从后备箱中取出自行车继续赶路。由于自行车的速度只有汽车速度的3/5,小王比预计时间晚了20分钟到达单位...

作者: tihaiku 人气: - 评论: 0
问题 小王从家开车上班,汽车行驶10分钟后发生了故障,小王从后备箱中取出自行车继续赶路。由于自行车的速度只有汽车速度的3/5,小王比预计时间晚了20分钟到达单位。如果之前汽车再多行驶6公里,他就能少迟到10分钟。问小王从家到单位的距离是多少公里?() A. 12 B. 14 C. 15 D. 16
选项
答案 D
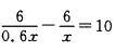
解析 由汽车和自行车的速度之比为3 : 5,汽车行驶6千米,自行车少耗时10分钟,设汽车、自行车的时速分别为x千米/分钟、0. 6x千米/分钟,则有,x= 0.4。设原来汽车到单位所用的时间为t分钟,则有(t-10 + 20) X0. 6X0. 4=(t-10)X0. 4,t= 40,s=xt=16千米。

相关内容:小王,汽车,10分钟,故障,后备,箱中,自行车,速度,只有,时间,20分钟,单位

猜你喜欢

发表评论
更多 网友评论0 条评论)
暂无评论

Copyright © 2012-2014 恰考网 Inc. 保留所有权利。 Powered by tikuer.com

页面耗时0.0369秒, 内存占用1.04 MB, Cache:redis,访问数据库14次