河道赛道长120米,水流速度为2米/秒,甲船静水速度为6米/秒,乙船静水速度为4米/秒。比赛进行两次往返,甲、乙词时从起点出发,先顺水航行,问多少秒后甲、...

作者: tihaiku 人气: - 评论: 0
问题 河道赛道长120米,水流速度为2米/秒,甲船静水速度为6米/秒,乙船静水速度为4米/秒。比赛进行两次往返,甲、乙词时从起点出发,先顺水航行,问多少秒后甲、乙船第二次迎面相遇?( ) A. 48 B. 50 C. 52 D. 54
选项
答案 C
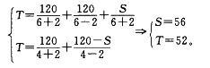
解析 第二次迎面相遇,两船应该一共走了4个全程,由于甲船较快,我们可以假设甲走了2个全程多S,乙走了2个全程少S,如右图所示 (图中箭头处代表迎面相遇处),假设T为所求,则

相关内容:河道,赛道,120米,水流,速度,甲船,乙船,乙词时,起点,航行

猜你喜欢

发表评论
更多 网友评论0 条评论)
暂无评论

Copyright © 2012-2014 恰考网 Inc. 保留所有权利。 Powered by tikuer.com

页面耗时0.0344秒, 内存占用1.05 MB, Cache:redis,访问数据库18次