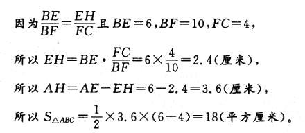
右图中的甲和乙都是正方形,BE= 6厘米,EF=4厘米。那么,阴影部分ABC的面积是多少平方厘米?( ) A. 20 B. 24 C. 21 D. 18

作者: tihaiku 人气: - 评论: 0
问题 右图中的甲和乙都是正方形,BE= 6厘米,EF=4厘米。那么,阴影部分ABC的面积是多少平方厘米?( ) A. 20 B. 24 C. 21 D. 18
选项
答案 D
解析 如图,设于可将阴影部分看成两个同底三角形的组合,其中底边为AH,高为BE 和DC。 故本题选D。

相关内容:右图,正方形,6厘米,4厘米,阴影,部分,面积

猜你喜欢

发表评论
更多 网友评论0 条评论)
暂无评论

Copyright © 2012-2014 恰考网 Inc. 保留所有权利。 Powered by tikuer.com

页面耗时0.0342秒, 内存占用1.05 MB, Cache:redis,访问数据库20次